
As we get older, our maximal aerobic capacity—otherwise known as VO2 max—declines.
The big question in exercise physiology for over 100 years hasn’t been if aerobic capacity declines with age, but why. In other words, what limits VO2 max across the age spectrum?
VO₂ max depends on two big pieces:
Oxygen delivery, or how much blood the heart can pump per minute (cardiac output). This is referred to as the central component of VO₂ max.
Oxygen extraction, or how much oxygen the tissues pull out of that blood. This is referred to as the peripheral component of VO₂ max. It’s dependent on muscle quantity and quality, blood vessels, and mitochondrial function.
We’ve historically treated aging as mostly a story of a central limitation—maximal heart rate declines, maximal cardiac output declines, and VO₂ max comes along for the ride. Peripheral factors like muscle mass, capillaries, and mitochondria are acknowledged, but often without clear quantification of their relative importance. That’s primarily due to difficulties in measuring or estimating these factors in large groups of adults (VO₂ max and cardiac output, on the other hand, are somewhat easier to measure or estimate).
Thanks to a new study, we have a better answer to the factors contributing to the age-related drop in maximal aerobic capacity, and it might just change how we think about aging, VO2 max, and training.
The researchers set out to investigate how much of the VO₂ max decline across adulthood and into older age is due to reduced cardiovascular delivery, and how much is due to the muscles and microcirculation becoming worse at using oxygen.
Things are going to get a bit nerdy here, but bear with me. It’s crucial for understanding the study.
They used a multifactorial model that treats the oxygen cascade in our body as a series of resistors. Imagine oxygen flowing through the lungs, the heart and large arteries, the small arteries and capillaries, the spaces between cells and muscle fibers, and eventually the mitochondria.
Each step in the cascade adds resistance to flow. The research group collapsed this cascade into two primary “effective” resistances:
- Cardiovascular resistance (which they termed RQ), everything on the delivery side, including the heart and large vessels.
- Peripheral resistance (which they termed RP), everything that happens from the small vessels onward: microcirculation, diffusion, and mitochondrial utilization of oxygen.

Then they asked a simple question: For a given VO₂ max, what proportion of the total limitation is due to cardiovascular resistance versus peripheral resistance?
These factors (known as the fractional central and fractional peripheral limitation, respectively) were then tied into one key quantity known as the maximal cardiovascular oxygen delivery. Of all the oxygen the cardiovascular system can deliver at max, what fraction does the tissue actually pull out? If it’s high, then peripheral oxygen utilization is strong; if it’s low, then something downstream in the muscle, microcirculation, or mitochondria is failing.
Rather than gather new data, the team pulled together existing data on VO₂ max and cardiac output from published literature in (mostly) active, healthy men between the ages of 30 and 90 years old. With this data, they could estimate maximal cardiovascular oxygen delivery and then partition the VO₂ max limitation into central and peripheral factors.
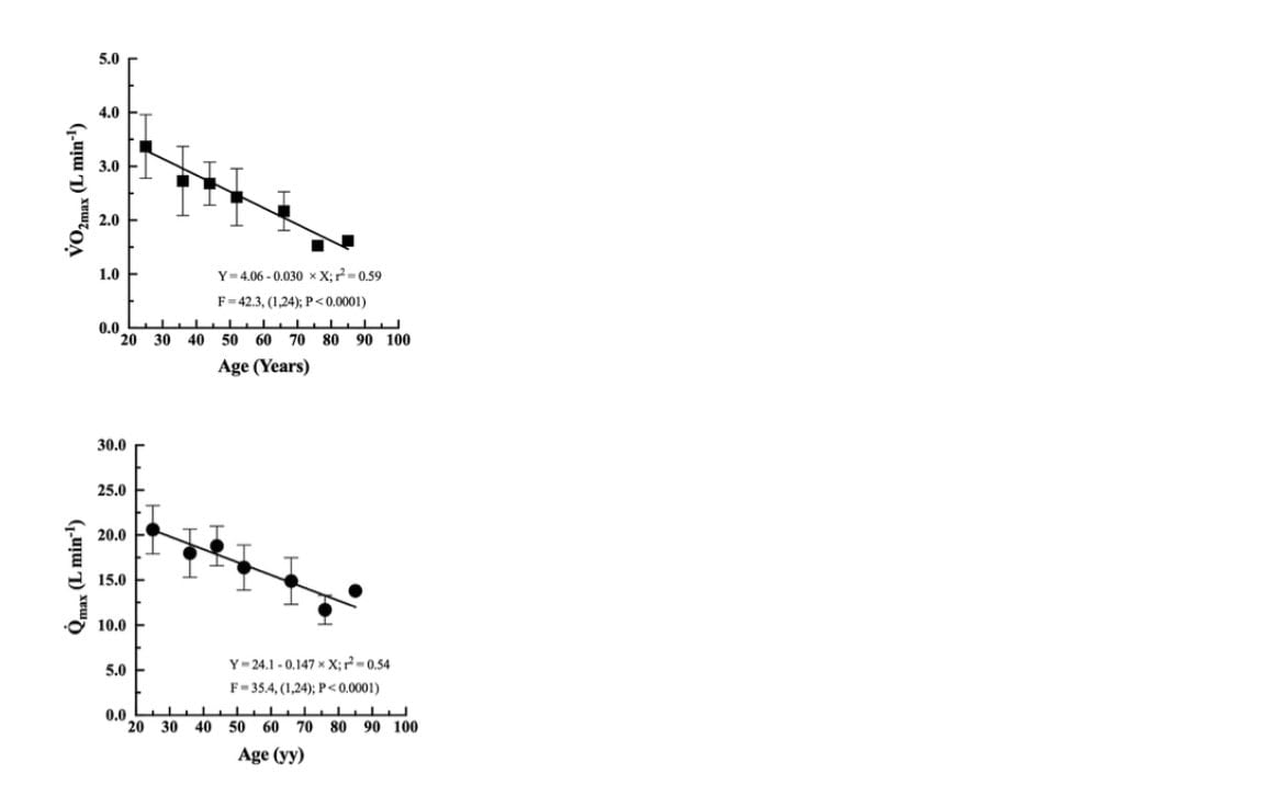
VO₂ max and cardiac output fall with age
Across adulthood, maximal aerobic capacity and cardiac output fell linearly with age, but not at the same rate. Average rates of decline were ~37 mL/min per year for VO₂ max and 151 mL/min per year for cardiac output.
Over the period from age 20 to age 70, that translates to about a 46% reduction in VO₂ max but only a 31% reduction in maximal cardiac output. VO₂ max is falling faster than the heart is failing, and this discrepancy is the first big clue that the limitation is not purely central.

With age, muscles stop using as much of what the heart delivers
Looking at maximal oxygen extraction capacity, an age-dependent trend stood out.
In younger adults (~20 years old), the muscles used about 80% of the oxygen that was delivered to them. But by age 75–80, oxygen extraction was only 60%—that’s a ~20% decline in oxygen extraction efficiency across the lifespan. So even when the heart is still delivering a reasonable amount of oxygen-rich blood to muscles and mitochondria, they become progressively worse at using it.
What explains this drop in the body’s ability to extract and use oxygen? It appears to be tightly coupled to an increase in peripheral resistance. In younger adults, the authors’ model estimates that about 77% of the limit to VO₂ max is central, with only about 23% peripheral. But in older adults, that limitation changes—56% of the limitation is due to central factors, while peripheral factors rise to 44%.
What does this mean in plain language?
When we’re young, VO₂ max is primarily limited by the cardiovascular system. The heart and major blood vessels are the “bottleneck” limiting maximal aerobic capacity. When we’re old(er), VO₂ max becomes almost equally limited by cardiovascular (central) and peripheral factors—the muscles and mitochondria almost “catch up” as a source of failure.
Put together, the model shows that the progressive increase in peripheral resistance is a major, quantifiable driver of VO₂ max decline, possibly more important than the fall in maximal cardiovascular oxygen transport. What could explain this drop?
While the model itself didn’t directly measure muscle structure/mass or blood flow, it lines up with a body of work on how skeletal muscle and the microvasculature change with age, and how this might explain the loss of our ability to utilize oxygen. The progressive increase in the peripheral limitation to VO₂ max is likely multifactorial, involving a decline in muscle mass (sarcopenia), mitochondrial loss and dysfunction, and impaired blood vessel function and capillary density. Together, these changes mean our body has a vascular system less well equipped to extract oxygen and fewer “energy factories” to use it.

Back to the question that began this post: Is the VO₂ limitation central or peripheral?
The honest answer from this paper is both, but the balance shifts with age. The increase in peripheral resistance is a major (and now quantifiable) contributor to the decline in VO₂ max with age, and it accounts for an outsized proportion of the decline that can’t be explained by reduced cardiac output alone. By age 70 or 80, peripheral factors are just as important as central ones in limiting maximal aerobic capacity.
Now is the time for me to deliver the punch line: none of this is inevitable.
Regular moderate-to-vigorous-intensity aerobic exercise can help maintain or slow the decline in stroke volume, vascular function, and overall “cardiovascular conditioning” at any age. You can address the central limitations. And regular strength training—by preserving and increasing muscle mass—can also somewhat counter the peripheral limitations to fitness.
The most useful mental model here is that you want to keep the entire oxygen cascade a “low-resistance” system, and to do that, endurance and strength training both appear to be essential.
But we should also be realistic. Certain central changes (like the decline in maximal heart rate) are only modestly trainable.
We can optimize what we have, but we can’t completely reverse our biological clock.
What this means for runners
If the VO₂ max decline were purely central (just a failing pump), then the obvious prescription would be to run more (and run longer) to keep the pump robust.
But since the bottleneck appears to be increasingly shared between the heart and periphery, the approach for runners needs to be broader.
Of course, you still need traditional aerobic training—regular moderate to vigorous endurance exercise, including those easy zone 2 runs and tempo workouts, remains critical. This helps to maintain or slow the decline in stroke volume, large artery elasticity, the compliance of our heart, and overall cardiovascular conditioning.
Because peripheral changes are tightly linked to muscle loss, that also means we must actively fight sarcopenia with progressive resistance training. That doesn’t mean treat it as “accessory work,” but rather, a primary strategy to preserve VO₂ max. Focusing on lower- and upper-body strength and mass will preserve mitochondrial volume (a key component of VO₂ max) but also force-generating capacity, especially in type II muscle fibers that we lose rapidly with age and detraining.
Think of resistance training as preserving the size of the factory where oxygen is used.
Lastly, we need to stimulate mitochondrial and microvascular adaptations with high-intensity interval training. These efforts challenge the body’s oxygen utilization and force new blood vessels and capillaries to grow, maintaining adequate blood flow and nutrient delivery to working muscles. We can’t do too much, of course, but enough to keep the factories efficient (oh, and so you can keep running PRs).













If you were to break out the peripheral causes, I’d bet hot money it’s the mitochondria that are the limiting factor. Mitochondria are damaged over time by exposure to environmental toxins and all the fake crap and chemicals that are in food nowadays. And you can only make mitochondria by replicating the copies you already have, so if the majority of your mitochondria are impaired, you are SOL.
As for muscle, many older people have trouble eating. They don’t get the essential fatty acids or amino acids they need. So you can spend all day in the gym, but if you are not getting the building blocks of muscle you will find exercise difficult and be inclined to the bed. This becomes a negative feedback loop.
The digestive tract also absorbs less with age, and so it may be necessary to take in far more than they tell you is minimal, or even ideal, simply because you have poor absorption. You’re eating it, but it’s not being absorbed by the gut (again likely damaged over time due to all the chemicals and pesticides present in the modern world).
Many things are passable when you are young, but as you age, what you could get away with when you were 20 is not applicable at 40 or 50 or 60.