Runners talk a lot about heart health, but less about cardiac fatigue, those short-lived, post-race changes in how the heart squeezes and fills. And when we do talk about it, the assumption is usually: the longer the race, the bigger the hit.

A new study set out to determine whether, in a real-world setting, recreational runners show different changes in heart function after a half-marathon versus a marathon/ultra.1Dominika, B., Michał, J., Michalina, M., Julia, C., Paweł, W., Michał, K., Marcin, S., Dominik, K., Michał, K., Celina, W., Andrzej, T., & Tomasz, K. (2026). Exercise-induced ventricular changes in recreational half-marathon runners compared with marathon/ultramarathon runners. International Journal of Cardiology. Heart & Vasculature, 63, 101886. https://doi.org/10.1016/j.ijcha.2026.101886
Researchers studied 105 recreational runners at the 2023 Silesia Marathon event, split into two groups:
- Half-marathon: 49 runners
- Marathon/ultramarathon: 56 runners
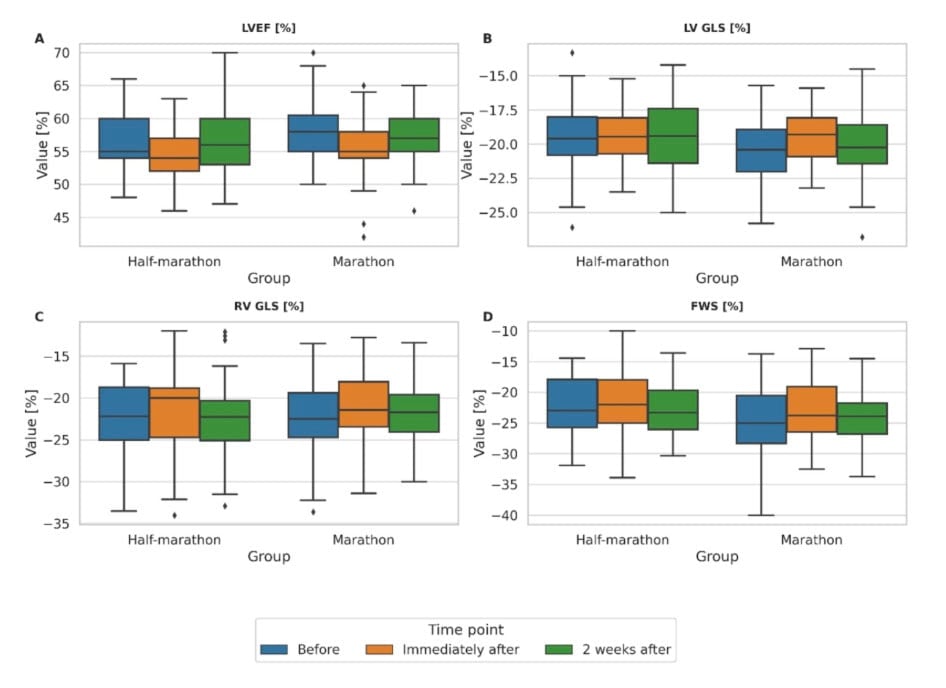
They performed echocardiography (heart ultrasound) and strain imaging (a sensitive way to detect subtle changes in heart muscle function) at three time points:
- Baseline (1–4 days pre-race)
- Immediately post-race
- Follow-up (14 days later)
They also looked for predictors of who experiences a bigger dip (age, sex, body size, weekly training hours, etc.).
Most changes were mild, short-lived, and fully reversible within two weeks.
Left ventricle (main pump): Both groups saw a small post-race drop in left ventricular ejection fraction, but values stayed in the normal range and rebounded by follow-up. The half-marathon group went from about 56.6% to 54.5%, and the marathon/ultra group from 57.8% to 55.5% right after the race.
The more interesting signal showed up in a subtle contractility marker known as left ventricular global longitudinal strain. At baseline, marathon/ultra runners actually had slightly “better” strain (higher numbers) than half-marathoners. After racing, it dropped meaningfully in the marathon/ultra group (roughly 20.7 → 19.5), then trended back toward baseline at two weeks. The half-marathon group barely changed.
Right ventricle (often the canary in the coal mine for endurance racing): Right-ventricle measures trended downward after the race in both groups, but the pattern was less consistent than the left ventricle. Right ventricle strain numbers declined slightly post-race, but by two weeks, they largely normalized.
One simple right-ventricle function metric, known as TAPSE, also dipped after racing. The marathon/ultra group showed a larger absolute drop (about 24.6 → 21.6), but variability was high, and the authors didn’t find a clean, reliable reason to conclude that distance causes bigger right ventricle fatigue.
Atria (the heart’s smaller chambers): Atrial strain (both left and right) tended to drop right after the race—consistent with transient changes in filling pressures and the whole cardiovascular stress response. But like most measures, it also recovered by follow-up.
Does race distance matter? Surprisingly, not much.
Even though the marathon/ultra group showed a clearer dip in left ventricle strain, the overall cardiac response pattern looked broadly similar between groups, and everything bounced back. So the race distance didn’t matter much. And the authors couldn’t reliably predict who would have more cardiac fatigue based on other factors. There were hints that higher weekly training volume might blunt the post-race dip, while older age might be associated with a slightly bigger hit to some markers. But these were just trends, not strong predictors.
What this means for runners
For most healthy recreational runners, a half-marathon, marathon, or even ultra can produce small, temporary “cardiac fatigue,” but this study supports the idea that it’s usually a normal, reversible response rather than damage. The actionable takeaway isn’t to fear long races but to respect the recovery window by giving yourself a few days to a couple of weeks of truly easy running after an all-out effort.













