Even though most of us know that carbohydrates are king when it comes to endurance performance, the idea that cutting carbs to become a better fat burner, in the hopes of improving endurance, has still stuck around. But the science question underneath the hype is legit: if you deliberately cycle carbs across a training block—low during base training, higher during intensity—could you actually change physiology in a way that matters for running?

A new study tested that idea1Kripp, A. M., Feichter, A., & König, D. (2026). Periodized carbohydrate intake influences metabolic flexibility and indices of running economy during endurance training in recreationally active males. Frontiers in Nutrition, 12. https://doi.org/10.3389/fnut.2025.1750042 in a pretty straightforward way. Twenty-four recreationally active male runners (average VO₂ peak of 51) were randomized to one of three diet strategies during an eight-week endurance training block split into two phases: four weeks of endurance-focused training and four weeks emphasizing higher-intensity intervals.
The diets were:
- PER (periodized): 4 weeks very low carb (≤50 g/day), then 4 weeks high carb
- Low-carb, high-fat (LCHF): 8 weeks very low carb (≤50 g/day)
- Carbohydrates (CHO): 8 weeks higher carb (the comparison group)
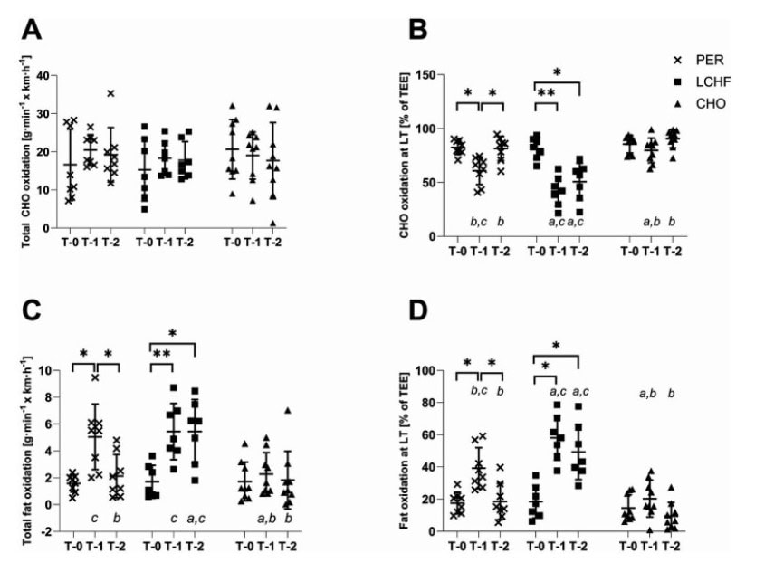
Everyone followed the same running program of five sessions per week. Testing occurred at baseline, after week four, and after week eight. The key lab test was a graded treadmill protocol with gas exchange and lactate sampling, so the researchers could quantify peak running speed, time to exhaustion, running economy (oxygen cost), and shifts in substrate use (fat vs carbohydrate oxidation), including at the lactate threshold.
Performance markers improved across the board over time. Peak running speed increased significantly from week 0 to week 4 and again from week 4 to week 8. Time to exhaustion also improved (+55 seconds from week 0 to week 4 and +42 seconds from week 4 to week 8). But these gains were not meaningfully different between diet groups. Everyone got fitter, and the diet strategy didn’t separate the groups.
Where the diets did separate was in metabolism.
The low-carb phases pushed the runners toward higher fat use. Both PER and LCHF increased total fat oxidation in the first 4 weeks, and the LCHF group maintained that pattern through week 8. The periodized group is the best demonstration of the concept: once they reintroduced carbs in the second half, the substrate shift reversed—carb oxidation rose, and fat oxidation dropped back toward baseline patterns. The same “up then down” pattern showed up in maximal fat oxidation—PER increased their max fat oxidation during the low-carb phase, then decreased once carbs returned, while LCHF increased and stayed elevated. That’s metabolic flexibility in the most literal sense, and it’s changeable in a matter of weeks.
Running economy at lactate threshold showed a significant change between groups. In PER, oxygen cost at the lactate threshold decreased (improved) from baseline to the end of the intervention, whereas the other groups didn’t show a consistent improvement at the same timepoints.
What this means for runners
A strategic low-carb block can push your fat oxidation up, and reintroducing carbs restores carbohydrate use—so you’re not permanently “stuck” in one metabolic mode. But don’t expect carb cycling to be a performance cheat code. In this study, peak speed and time-to-exhaustion improved similarly regardless of what people ate. The intriguing piece is running economy improving in the periodized group, which suggests that if you like lower-carb during easier base weeks (sometimes for appetite control or body composition), it can have benefits, but you probably want carbs back on board when the work turns into intervals, because that’s when glycolytic capacity matters and when you’re most likely to pay a price for chronically low glycogen.













