
I’ve experienced the “tired but wired” feeling after a marathon or hard race more times than I’d like to admit, and it’s one of the least talked-about parts of race recovery. We tend to focus on fueling, inflammation, and muscle damage—but sleep, arguably the most powerful recovery tool we have, often gets disrupted right when we need it most.
A new study1Aquino-Lemos, V., Leite, G. S. F., T Silva, E., Batatinha, H. A. P., Resende, A. S., Lancha-Junior, A. H., R Neto, J. C., Tufik, S., & Thomatieli-Santos, R. V. (2025). Probiotic Supplementation Can Alter Inflammation Parameters and Self-Reported Sleep After a Marathon: A Randomized, Double-Blind, Placebo-Controlled Study. Nutrients, 17(23), 3762. https://doi.org/10.3390/nu17233762 takes a novel angle on this problem: whether probiotic supplementation before a marathon can improve sleep and reduce post-race inflammation.
Researchers recruited 27 experienced male marathon runners who trained about 30 miles per week and randomly assigned them to either a probiotic or a placebo group. For 30 days leading into an official marathon, one group consumed a daily probiotic supplement containing Lactobacillus acidophilus and Bifidobacterium lactis, while the placebo group received an identical sugar powder.
Supplementation lasted a whole month. Sleep and inflammation were assessed at baseline and again 24 hours after the marathon.
Importantly, diet and fueling were closely tracked. There were no meaningful differences between groups in habitual diet, pre-race intake, or fueling during the marathon, helping isolate the effect of the probiotic itself.
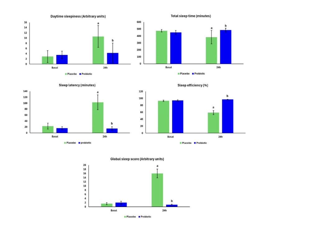
The placebo group showed exactly what most marathoners would expect. Twenty-four hours after the race, runners reported worse sleep across the board: increased daytime sleepiness, longer time to fall asleep, shorter total sleep time, lower sleep efficiency, and worse overall sleep quality scores compared to baseline.
The probiotic group looked very different.
Compared to placebo, runners who supplemented with probiotics reported less daytime sleepiness, shorter sleep latency, longer total sleep time, higher sleep efficiency, and better sleep quality the night after the marathon.
On the inflammation side, the story was more nuanced. Classic inflammatory cytokines (IL-1β, IL-6, TNF-α) declined after the marathon in both groups, with no apparent differences between the probiotic and placebo groups. However, LPS—a marker of gut barrier disruption—fell significantly after the race only in the probiotic group, at both one hour and 24 hours post-marathon.
What this means for runners
For runners who consistently struggle to sleep after long races or hard training blocks, this study suggests that gut health may be an underappreciated lever for recovery. Practically, this doesn’t mean every runner needs probiotics year-round, but it does suggest a potential role during heavy training phases or in the lead-up to goal races, especially for athletes prone to gut distress or post-race sleep issues.

RELATED ARTICLE:












